II. РЕЗУЛЬТАТЫ ЭКСПЕРИМЕНТАЛЬНЫХ И ТЕОРЕТИЧЕСКИХ ИССЛЕДОВАНИЙ

 

 

2.1. Фундаментальные и прикладные научные исследования в области астрофизики и радиоастрономии

 

Тема ВСЕЛЕННАЯ. Исследования в области астрофизики высоких энергий, теоретической физики и наблюдательной космологии. Научный руководитель Академик Р.А. Сюняев

 

1.1 Теоретические и экспериментальные исследования в области астрофизики высоких энергий и обработка архивной научной информации за 2004 год.

1.1.1 Формирование и устойчивость холодных фронтов в газе скоплений галактик

Одним из интересных и неожиданных результатов обсерватории Чандра стало открытие «холодных фронтов» в горячем газе скоплений галактик. Такие фронты представляют собой резкие скачки плотности и температуры газа. Очевидное предположение, что фронты являются ударными волнами, было сразу отвергнуто, так как более низкая температура и более высокая плотность газа наблюдаются с одной стороны скачка, что противоречит картине обычной безизлучательной ударной волны. Более детальный анализ показал, что на холодных фронтах нет скачка давления и фронты представляют собой контактные разрывы. Принципиальными вопросами являются - механизм образования фронтов и их устойчивость.

Простые качественные аргументы и численное моделирование (2-мерные гидродинамические расчеты) показали, что формирование сильных скачков температуры и плотности являются естественным процессом, сопровождающим обтекание гравитационно связанного облака газа более горячим и разреженным газом. Обтекание приводит к циркуляционным движениям газа внутри облака, которые выносят низкоэнтропийный газ из центра облака на периферию. Адиабатическое расширение этого газа и приводит к появлению очень холодных областей, вытянутых вдоль поверхности разрыва.

Скорость движения газа вдоль поверхности облака испытывает тангенциальный разрыв и, следовательно, возникают условия для развития неустойчивости Кельвина-Гельмгольца. Однако, ускорение движения газа вдоль "кривой" поверхности фронта меняет характер развития неустойчивости и способствует стабилизации длинноволновых возмущений. Оказывается, что для сферических фронтов толщина, превышающая 1.5-2% от радиуса кривизны фронта, достаточна, чтобы подавить развитие неустойчивости вплоть до значительных расстояний от переднего края облака. При этом нет необходимости предполагать существование динамически значимого магнитного поля для стабилизации неустойчивости.

Рис. Слева: Вынос низкоэнтропийного (показан синим цветом) газа на периферию облака, вызванный обтеканием облака. Стрелками показано поле скоростей движения газа. Справа: Фактор усиления малых возмущений неустойчивостью Кельвина-Гельгольца как функция длины волны возмущений: для плоской геометрии (черная кривая), при обтекании фронта с очень маленькой поперечной толщиной (синяя кривая) и при толщине фронта порядка нескольких процентов от радиуса кривизны (красная кривая).

Churazov, E., Inogamov, N., «Stability of cold fronts in clusters: is magnetic field necessary?», MNRAS, 350, L52, 2004.

1.1.2 Хаотические движения газа в ядрах скоплений

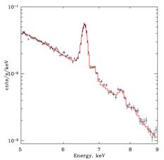
Газ скоплений галактик оптически тонок для рентгеновского излучения в континууме. Для ярчайших эмиссионных линий это условие не выполняется, и толща может достигать величин порядка 3-6. При такой оптической толще распределения поверхностной яркости в континууме и линиях должны заметно отличаться. Детальные наблюдения ярчайшего скопления галактик в созвездии Персея телескопом XMM-Newton показали, что таких отличий нет. Сравнение наблюдений с расчетами радиационного переноса показало, что необходимы хаотические движения газа со скоростями порядка 40-50% от скорости звука, чтобы понизить оптическую толщу эмиссионных линий. Наличие таких движений является принципиальным тестом гипотезы о нагреве газа скоплений за счет диссипации турбулентных движений, порождаемых оттоком релятивистской плазмы от центральной черной дыры. Оказывается, что обнаруженные движения газа действительно могут обеспечить необходимый темп нагрева газа.

Рис. Слева: Типичный спектр рентгеновского излучения, наблюдающийся из центральной зоны скопления галактик в созвездии Персея. Заметная оптическая толща в линии гелие-подобного железа на энергии 6.7 кэВ должна приводить к ослаблению потока в этой линии от центра скопления. Справа: Кривые показывают ожидаемый фактор подавления потока в линии железа как функцию расстояния от центра скопления для характерных скоростей хаотических движений порядка 0, 0.25, 0.5 и 1 от скорости звука (сверху вниз). Красными крестами показаны результаты измерений. Видно, что движения газа необходимы для объяснения наблюдений.

Churazov, E., Forman, W., Jones, C., Sunyaev, R., & Boehringer, H.: «XMM-Newton observations of the Perseus cluster - II. Evidence for gas motions in the core», MNRAS, 347, 29, 2004.

1.1.3 Эффекты статистики при подсчете суммарной светимости дискретных источников

Исследованы статистические свойства суммарного излучения популяции конечного числа дискретных источников (например, суммарное рентгеновское излучение популяции рентгеновских двойных в галактике). Рассмотрена зависимость полной светимости Ltot=SLk и rmstot - переменности суммарного излучения от числа источников N, т.е. от нормировки функции светимости. Показано, что в силу эффектов статистики малых чисел существует режим, в котором Ltot растет с N нелинейно, в противоречии с интуитивно очевидным законом.

В этом нелинейном режиме rmstot падает с числом источников медленнее, чем предсказывается законом . Например для степенной функции светимости с показателем 3/2, в нелинейном режиме Ltot µ n2, и rmstot не зависит от числа источников. Только в пределе n ® ¥ эти две величины ведут себя в соответствии с интуитивно очевидными законами: L tot µ n и . Получены точные решения проблемы и ассимптотики, удобные для практического применения. Предсказанные эффекты проиллюстрированы на примере поведение суммарного излучения рентгеновских двойных в галактиках в зависимости от темпа звездообразования и звездной массы.

Рис. Связь между суммарной светимостью массивных рентгеновских двойных и темпом звездообразования (слева) и суммарной светимость маломассивных двойных и звездной массой родительской гадактики (справа). Жирной линией показано ожидаемое поведение наиболее вероятного значение светимости, предсказанное на основе универсальных функций светимости HMXB и LMXB соответственно.

 

Gilfanov, M., H.-J. Grimm and R. Sunyaev: «Statistical properties of the combined emission of a population of discrete sources: astrophysical implications», MNRAS, 351, 1365-1378, 2004.

1.1.4 Широкополосный спектр GRS 1734-292, яркой Сейфертовской галактики за центром нашей Галактики

Исследования жесткого рентгеновского излучения объектов в области Галактического центра всегда представляли значительную сложность. Одним из таких объектов является источник GRS 1734-292, открытый в 1991 г. обсерваторией ГРАНАТ. Это одна из ярчайших близких к нам Сейфертовских галактик, лишь немного уступающая по светимости квазарам. На основе уникальных данных глубоких наблюдений области Галактического центра стало возможным впервые построить энергетический спектр GRS 1734-292 до энергий порядка 150 кэВ. Показано, что спектр источника, полученный по данным обсерваторий ASCA, ГРАНАТ и ИНТЕГРАЛ, хорошо описывается моделью характерной для Сейфертовских галактик первого типа. Экспоненциальный завал в энергетическом спектре источника отсутствует вплоть до энергии 100 кэВ. Полученный результат показывает, что жесткие рентгеновские спектры активных ядер галактик очень слабо зависят от их светимости. Этот факт очень важен для моделирования космического рентгеновского фона как суммарного излучения активных ядер галактик и квазаров.

Sazonov S.Yu., Revnivtsev M.G., Lutovinov A.A., Sunyaev R.A., Grebenev S.A. «Broadband X-ray spectrum of GRS 1734-292, a luminous Seyfert 1 galaxy behind the Galactic Center» Astron. Astrophys., 421, L21, 2004

1.1.5 Нагрев газа излучением квазаров

Используя информацию о космическом рентгеновском фоне, суммарном излучении активных ядер галактик (АЯГ) в инфракрасном диапазоне, оценку массовой плотности сверхмассивных черных дыр в локальной Вселенной, а также спектры отдельных АЯГ, получен усредненный по всем направлениям широкополосный спектр излучения среднего квазара. Показано, что излучение таких источников способно фотоионизировать и нагревать окружающий газ до температуры 2´107 К. Это значение превышает вириальные температуры гигантских эллиптических галактик. Результаты этой работы будут использованы для расчетов обратного воздействия излучения, выделяющегося при аккреции на сверхмассивные черные дыры, на межзвездную среду.

Sazonov S.Yu., Ostriker J.P., Sunyaev R.A. «Quasars: the characteristic spectrum and the induced radiative heating», MNRAS, 347, 144, 2004

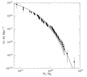
1.1.6 Определение нормировки и наклона спектра мощности первичных флуктуаций плотности вещества по функции масс барионов близких скоплений галактик.

Разработан новый метод определения космологических параметров по функции масс барионов скоплений галактик. Этот метод основан на том, что доля барионов в скоплениях является универсальной величиной, что позволяет поставить ограничения на нормировку, s8 и наклон, WMh спектра мощности флуктуаций плотности.

Voevodkin A. and Vikhlinin A., «Constraining amplitude and slope of the mass fluctuation spectrum using a cluster baryon mass function», Astrophysical Journal, 601, p.610, 2004

1.1.7 Исследование рентгеновских пульсаров в широком диапазоне энергий по данным космических рентгеновских и наземных оптических обсерваторий.

Полученные результаты основаны на данных, полученных обсерваториями ГРАНАТ, RXTE, XMM, ИНТЕГРАЛ и телескопом РТТ-150. Было исследовано поведение шести аккрецирующих рентгеновских пульсаров на различных масштабах времени, зависимости их периодов, спектров, профилей импульсов от интенсивности излучения. В ряде случаев получены оценки параметров в системах, таких как магнитные поля, расстояния до объектов, размеры неоднородностей в звездном ветре и др.

Рис. Эволюция спектра пульсара EXO 1722-363 по данным RXTE/PCA и INTEGRAL/IBIS.

Основные результаты:

-    для источников 4U0352+309/X-Persei, LMC X-4, SAX J2103.5+4545 построены широкополосные спектры в диапазоне энергий 3-100 кэВ. В спектре пульсара 4U0352+309/X-Persei зарегистрирована циклотронная особенность на энергии ~28.8 кэВ, что соответствует магнитному полю на поверхности нейтронной звезды 3.3x1012 Гс. Отсутствие таких особенностей в спектрах остальных пульсаров, а также темпы изменения их периодов свидетельствуют о том, что поля в них либо малы ~1011 Гс (SMC X-1), либо велики ~1013 Гс (LMC X-4, SAX J2103.5+4545). Для источникa SMC X-1 получены оценки угла наклона между плоскостями орбиты и аккреционного диска;

-    получены оценки на размеры неоднородностей звездного ветра в двойной системе GX 301-2/Wray 977, вызывающих сильные вариации интенсивности источника и его спектра;

-    с высокой точностью (5'') установлено положение пульсара SAX J2103.5+4545 и определен его оптический компаньон;

Рис. Локализация пульсара SAX J2103.5+4545.

-    уточнено положение пульсара EXO 1722-363 и найден орбитальный период системы ~9.73 дня; спектр его излучения на низких энергиях сильно зависит от орбитальной фазы, что, скорее всего, связано с неоднородным распределением вещества в системе;

-    получены верхние пределы на переменность излучения пульсаров 4U0352+309/X-Persei и SAX J2103.5+4545 в линии Ha на масштабе периода импульса; для последнего также получен предел на переменность в фильтре R на масштабе орбитального периода.

 

Лутовинов А.А., Цыганков С.С., Гребенев С.А., Павлинский М.Н., Сюняев Р.А. «Двухлетние наблюдения рентгеновского пульсара SMC X-1 телескопом АРТ-П обсерватории ГРАНАТ», ПАЖ, 30, c.58, 2004

Цыганков С.С., Лутовинов А.А., Гребенев С.А., Гильфанов М.Р., Сюняев Р.А. «Наблюдения рентгеновского пульсара GX301-2 телескопом АРТ-П обсерватории ГРАНАТ», ПАЖ, 30, 8, c.596, 2004.

A.Lutovinov, S.Tsygankov, M.Revnivtsev, et al. «Variability of X-ray pulsars in a hard energy band observed with INTEGRAL», Proceedings of the 5th INTEGRAL Workshop, in press

Филиппова Е.В., Лутовинов А.А., Штыковский П.Е. и др. «Широковолновые наблюдения транзиентного рентгеновского пульсара SAX J2103.5+4545», ПАЖ, 30, ном.12, 824-833, 2004

1.1.8 Долговременные наблюдения слабоаакрецирующих рентгеновских барстеров

Были получены долговременные (10-20 лет) кривые блеска для семи слабоаккрецирующих рентгеновских барстеров. Отсутствие точных данных по расстояниям до источников и отсутствие длительных чувствительных измерений не позволяют получить точные оценки по средним уровням светимости. Для четырех источников найдены верхние пределы светимостей на протяжении 5 лет. Они оказались ниже ~1036 эрг/сек. В случае, если мы недооценили систематическое завышение потоков по данным ASM, вблизи Галактического Центра, то верхние пределы средних светимостей опустятся до ~1035 эрг/сек.

Рис. Кривые блеска рентгеновских барстеров. Темные точки – данные ТТМ, ромбы – данные ASM, горизонтальные черточки – данные BeppoSAX, ошибки даны на уровне 1s. Стрелками показаны верхние пределы детектирования на уровне 3s. а) SAX J1324.5-6313, б) 1RXS J1718.4-4029, звездочка – данные ROSAT, в) SAX J1828.5-1037, звездочка – ROSAT, г) SAX J1806.5-2215, звездочка – Chandra, д) GRS 1741.9- 2853 квадраты – АРТ-П, звездочки – данные Einstein и EXOSAT, е) SAX J1752.3-3128 звездочка – Chandra, ж) SAX J1753.5-2349 звездочка – Chandra, треугольники – PCA/RXTE

 

Учитывая, что большинство наблюдений, выполненных высокочувствительными экспериментами, дали верхнюю границу на светимость источников на уровне 1032-1034 эрг/сек, вероятно, что эти источники проводят значительную часть времени на малых уровнях светимости. Семь источников с отношением потока в момент всплеска/верхний предел на поток в спокойном состоянии >100 не демонстрировали за все время наблюдений длительных эпизодов с высокой светимостью. Таким образом, по наблюдениям рентгеновских всплесков первого рода из «пустых мест», которые имели большое отношение потока в момент всплеска к верхнему пределу на поток в спокойном состоянии, можно предполагать наличие в этой области рентгеновского барстера с малым уровнем постоянной светимости. Однако имеющиеся результаты не дают основания утверждать, что обнаруженные барстеры относятся к новому, специальному классу ќслабоаккрецирующих› барстеров.

Арефьев, В., Александрович, Н.Л., «Рентгеновские всплески первого рода из «пустых мест» - индикаторы «слабоаккрецирующих» барстеров?» // ПАЖ, 2004, T. 30, 2, C. 105-114.

1.1.9 Обзор всего неба по данным обсерватории RXTE. Каталог источников и анализ статистики активных галактических ядер.

Проведен анализ большого объема данных обсерватории RXTE (7 лет наблюдений) во время перенаведений. Эта часть данных обсерватории, обычно считающаяся ненужной и лишней, позволила построить карту всего неба с беспрецедентной чувствительностью ~10-11 эрг с-1 см-2, а в некоторых областях неба еще в два раза лучшей. Последний раз карта всего неба в рентгеновском диапазоне была получена обсерваторией HEAO1 в 1979 году. В области неба с Галактической широтой |b|>10 градусов обнаружено 293 источника, из них около 100 источников - активные галактические ядра. Таким образом, получен наиболее полный на сегодняшний момент обзор локальной Вселенной в рентгеновском диапазоне. Построена функция светимостей локальных активных галактических ядер. Впервые на основе самосогласованных данных получено распределение количества активных галактических ядер по величине фотопоглощения (что очень важно для синтетических моделей АЯГ), и показано что это распределение сильно зависит от светимости. Яркие АЯГ обычно не поглощенные, в то время как большинство слабых АЯГ сильно поглощено.

Revnivtsev M., Sazonov S., Jahoda K., Gilfanov M. «RXTE all-sky slew survey. Catalog of X-ray sources at |b|>10», Astron. Astrophys., 418, 927, 2004

Sazonov S.Yu., Revnivtsev M.G. «Statistical properties of local active galactic nuclei inferred from the RXTE 3-20 keV all-sky survey», Astron. Astrophys., 423, 469, 2004

1.2 Обработка и анализ научной информации проекта Интеграл

1.2.1 Уникальное измерение спектра сверхмассивной черной дыры Sgr A*.

Проведен детальный анализ излучения недавно открытого нами жесткого рентгеновского источника IGR J17475-2822.

Показано, что источником жесткого рентгеновского излучения является гигантское молекулярное облако Sgr B2. Наиболее вероятным механизмом излучения, регистрируемого нами, является переработка прошлой (примерно 300 лет назад) активности сверхмассивной черной дыры Sgr A* в нашей Галактике. Полученный высококачественный спектр излучения Sgr B2 позволил определить начальный спектр Sgr A* 300 лет назад. Это измерение спектра АЯГ в жестком рентгеновском диапазоне при сверхнизкой светимости (1039 эрг/с) является уникальным, потому что современные технологии не позволяют повторить такое измерение ни в какой другой галактике - недостаточное угловое разрешение современных инструментов.

 

Рис.1. Верхний рисунок: Изображение галактического центра в жестком рентгеновском диапазоне (18-60 кэВ), полученное телескопом ИБИС обсерватории. ИНТЕГРАЛ. Контурными линиями обозначены уровни отношения сигнал/шум от 5.0 и выше, с коэффициентом 1.4. На рисунке, обозначены известные зарегистрированные рентгеновские источники. Нижний рисунок: то же самое изображение галактического центра, но контурами обозначено распределение яркости в линии 6.4 кэВ, измеренное в эксперименте ASCA/GIS. Показаны наибольшие молекулярные облака, положение источника Sgr A отмечено крестом.

Revnivtsev M.G., Churazov E.M., Sazonov S.Yu., Sunyaev R.A., Lutovinov A.A., Gilfanov M.R., Vikhlinin A.A., Shtykovsky P.E., Pavlinsky M.N. «Hard X-ray view of the past activity of Sgr A* in a natural Compton mirror», Astron. Astrophys., 425, L49, 2004

1.2.2 GRB 031203: гамма-всплеск с необычайно малой энергией

Проанализированы наблюдения в жестких рентгеновских лучах обсерваторией ИНТЕГРАЛ гамма-всплеска GRB 031203, второго по близости всплеска с измеренным расстоянием за всю историю наблюдений. Это событие практически не отличается по своим временным и спектральным свойствам от обычных космологических гамма-всплесков. В частности, основная энергия была испущена в виде гамма-фотонов с энергиями выше 200 кэВ. Вместе с тем полная энергия этого всплеска примерно в тысячу раз меньше считавшейся обычной (в предположении изотропного выделения лучистой энергии). Кроме того GRB 031203 явно нарушает два считавшихся универсальными соотношения между основными энергетическими и временными параметрами гамма-всплесков. Открытие этого всплеска, как и обнаружение другого уникального всплеска GRB 980425, показывает, что во Вселенной существует многочисленная популяция слабых гамма-всплесков, связанных со взрывами сверхновых, а также опровергает представление, что гамма-всплески являются «стандартными свечами».

 

Sazonov S.Yu., Lutovinov A.A., Sunyaev R.A. «An apparently normal gamma-ray burst with an unusually low luminosity», Nature 430, 646, 2004

1.2.3 Обзоры областей жесткого рентгеновского неба. Обсерватории ИНТЕГРАЛ и ГРАНАТ

Рис. Общее изображение 35°´25° поля галактического центра, полученное в эксперименте IBIS/INTEGRAL в жестком рентгеновском диапазоне (18-60 кэВ). Полное время экспозиции ~2 миллионов секунд.

 

Подводя итоги длительных наблюдений неба рентгеновским телескопом СИГМА обсерватории ГРАНАТ, была проведена систематизация полученных карт и опубликованы карты чувствительностей и полный каталог всех источников.

Появление большого массива данных обсерватории ИНТЕГРАЛ позволило провести систематический анализ изображений области Галактического центра в жестком рентгеновском диапазоне. Обнаружено 62 источника. Открыт один новый источник. Среди известных источников - двойные системы с черными дырами, нейтронными звездами и белыми карликами, активные ядра галактик, скопления галактик.

Ревнивцев М., Сюняев Р., Варшалович Д., Железняков В., Черепащук А., Лутовинов А., Чуразов Е., Гильфанов М., Гребенев С. «Обзор области Галактического центра в жестких рентгеновских лучах телескопом IBIS обсерватории ИНТЕГРАЛ. Каталог источников.», ПАЖ, 30, 430

Ревнивцев М., Сюняев Р., Гильфанов М., Чуразов Е. и др. «Обзор неба в жестких рентгеновских лучах телескопом СИГМА обсерватории ГРАНАТ», ПАЖ, 30, 582, 2004

1.2.4 Картографирование неба в жестких рентгеновских лучах в области касательной к Галактическому спиральному рукаву в созвездии Стрельца.

Рис. Карта области касательной к Галактическому спиральному рукаву в созвездии Стрельца. 18-60 кэВ.

 

Работа была выполнена по данным верхнего слоя детектора телескопа IBIS (ISGRI – рабочий энергетический диапазон 18-200 кэВ) обсерватории ИНТЕГРАЛ, полученным во время российских наблюдений этой области Галактики. Общая экспозиция наблюдений составила около одного миллиона секунд. Была достигнута беспрецедентная чувствительность в 1.5 мКраба в данном диапазоне энергий. Было зарегистрировано более трех десятков источников рентгеновского излучения различной природы: кандидаты в черные дыры, пульсары, маломассивные двойные рентгеновские системы. Также в данной работе было сообщено об открытии 5 новых рентгеновских объектов, среди которых оказались и объекты нового типа, открытого также приборами миссии ИНТЕГРАЛ, поглощенных источников ‑ источники с сильным внутренним поглощением, что делает их практически невидимыми на энергиях стандартного рентгеновского диапазона.

Мольков, С.В,. Черепащук, А.М., Лутовинов А.А., и др., «Обзор области касательной к Галактическому спиральному рукаву в созвездии Стрельца в жестких рентгеновских лучах телескопом IBIS обсерватории ИНТЕГРАЛ. Каталог источников», ПАЖ, 30, 8, с. 1-7, 2004

1.2.5 Обнаружение новых рентгеновских источников обсерваторией ИНТГЕГРАЛ

Широкие поля зрения основных приборов обсерватории ИНТЕГРАЛ, практически непрерывные наблюдения, включающие специальные программы сканирования галактической плоскости и длительного экспонирования поля галактического центра, оптимальны для поиска и открытия новых (транзиентных, слабых или аномально жестких) рентгеновских и гамма-источников. В 2004 г. сотрудниками отдела Астрофизики высоких энергий было открыто 9 новых источников: IGR J01363+6610, IGR J16465-4507, IGR J17331-2406, IGR J17475-2822, IGR J17507-2856, IGR J18027-2016, IGR J18406-0539, IGR J18450-0435, IGR J18490-0000 - в дополнение к 10 источникам, открытым в 2003 году (а всего к настоящему времени обсерваторией ИНТЕГРАЛ открыто 46 новых источников). Ведется работа по их оптическому отождествлению и выяснению их природы.

Grebenev S.A., Ubertini P., Chenevez J, Orr A., Sunyaev R.A. "New X-ray transient IGR J01363+6610 discovered by INTEGRAL", Astronomer's Telegram,  275, 2004

Lutovinov A., Cadolle Bel M., Belanger G., Goldwurm A., Budtz-Jorgensen C., Mowlavi N., Paul J., Orr A. "IGRJ17331-2406", Astronomer's Telegram, 328, 2004

Lutovinov A., Rodrigues J., Budtz-Jorgensen C., Grebenev S., Winkler C. ``INTEGRAL discovered a new transient source IGRJ16465-4507'', Astronomer's Telegram, 329, 2004

Grebenev S.A., Sunyaev R.A. ``New X-ray transient IGR J17507-2856 discovered with INTEGRAL'', Astronomer's Telegram, 342, 2004

Мольков С.В., Черепащук А.М., Лутовинов А.А. и др., "Обзор области касательной к Галактическому спиральному рукаву в созвездии Стрельца в жестких рентгеновских лучах телескопом IBIS обсерватории ИНТЕГРАЛ. Каталог источников", Письма в Астрономический журнал,  30, 1, 2004

Ревнивцев М., Сюняев Р., Варшалович Д., Железняков В., Черепащук А., Лутовинов А., Чуразов Е., Гильфанов М., Гребенев С. "Обзор области Галактического центра в жестких рентгеновских лучах телескопом IBIS обсерватории ИНТЕГРАЛ. Каталог источников", Письма в Астрономический журнал, 30, 430

1.2.6 Широкополосные спектры (1-100 кэВ) ряда Галактических и внегалактических источников (XTE J1550-564, GRS 1734-292)

При помощи данных обсерватории ИНТЕГРАЛ впервые получены широкополосные спектры (1-100 кэВ) ряда Галактических и внегалактических источников (XTE J1550-564, GRS 1734-292). Детально исследована рентгеновская вспышка 2003 года пекулярной рентгеновской Новой, галактического микроквазара, кандидата в черные дыры - XTE J1550-564. Обсужден механизм генерации жесткого спектра.

Также изучено излучение двух промежуточных поляров V1223 Sgr и V2400 Oph (аккрецирующих белых карликов со слабым магнитным полем). Показано, что именно широкополосные энергетические спектры поляров дают наиболее достоверную информацию о физических условиях в ударной волне, возникающей у поверхности белого карлика. Используя эту информацию определены массы белых карликов в системах V1223 Sgr и V2400 Oph.

Revnivtsev, M., Lutovinov, A., Suleimanov, V., Sunyaev, R., & Zheleznyakov, V. «Broadband X-ray spectrum of intermediate polar V1223 Sgr», A&A, 426, 253, 2004

Ревнивцев М., Лутовинов А., Сулейманов В., Мольков С., Сюняев Р. «Широкополосный рентгеновский спектр промежуточного поляра V2400 Oph», ПАЖ, 30, 2004 (в печати)

Арефьев В.А., Ревнивцев М.Г., Лутовинов А.А., Сюняев Р.А., «Широкополосный рентгеновский спектр XTE J1550-564 во время вспышки 2003 г.», ПАЖ, 30, н. 10, 736, 2004

1.2.7 Мониторирование вспышек рекуррентных рентгеновских источников обсерваторией ИНТЕГРАЛ

Проводилось регулярное мониторирование галактической плоскости и поля галактического центра обсерваторией ИНТЕГРАЛ с целью поиска рекуррентных вспышек и реактиваций известных транзиентных источников. При ведущем участии сотрудников отдела Астрофизики выских энергий были обнаружены реактивации источников 4U0115+363, KS1741-293, XTE J1743-363, SGR1806-20, AX J1841.0-0536, IGR J17464-3213, XTE J1858+034, Aql X-1, A1744-361, IGR J17544-2619. Информация об этих событиях была оперативно распространена через публикации в электронном издании Astronomer's Telegrams для организации наблюдений в широком диапазоне длин волн.

Grebenev S.A., Rodriguez J., Westergaard N.J., Sunyaev R.A., Oosterbroek T. "New outburst of IGR J17544-2619 detected with INTEGRAL", Astronomer's Telegram, 252, 2004

Grebenev S.A., Revnivtsev M.G., Sunyaev R.A. "1E1740.7-2942 and KS1741-293", Astronomer's Telegram, 257, 2004

Molkov S., Lutovinov A., Cherepashchuk A., Sunyaev R., "Detection of Aql X-1 in Hard X-Ray State", Astronomer's Telegram, 259, 2004

Grebenev S.A., Goldoni P., Schoenfelder V., Roques J.-P., Sunyaev R.A., Courvoisier T., Winkler C. "INTEGRAL observes A1744-361 (XTE J1748-361) in hard X-rays", Astronomer's Telegram, 266, 2004

Molkov S., Cherepashchuk A., Revnivtsev M. et al., "A new outburst from XTE J1858+034. Improving the source position", Astronomer's Telegram, 274, 2004

Molkov S., Ubertini P., Jorgensen C., Winkler C., Gehrels N., "Burst Activity of SGR 1806-20 in the hard X-rays", Astronomer's Telegram, 324, 2004

Molkov S., Hurley K., Lutovinov A., Sunyaev R. "SGR 1806-20", Astronomer's Telegram, 325, 2004

Lutovinov A., Budtz-Jorgensen C., Turler M., Kretschmar P., Hermsen W., Kuulkers E. "New outburst from 4U0115+634", Astronomer's Telegram, 326, 2004.

Grebenev S.A., Sunyaev R.A. "High actvity of XTE J1743-363 detected with INTEGRAL", Astronomer's Telegram, 332, 2004

Rodriguez J., Domingo Garau A., Grebenev S., Parmar A., Roques J.-P., Schoenfelder V., Ubertini P., Walter R., Westergaard N.-J. "INTEGRAL discovery of a possible new source IGR J18410-0535?", Astronomer's Telegram, 340, 2004

1.3 Наблюдения и обработка данных телескопа РТТ-150

1.3.1 Быстрая фотометрия аккрецирующей черной дыры SS433 в оптическом и рентгеновском диапазонах

Впервые получены высококачественные данные одновременной быстрой фотометрии аккрецирующей черной дыры SS433 в оптическом (российско-турецкий телескоп РТТ 150) и рентгеновском (орбитальная обсерватория RXTE) диапазонах. Открыта задержка примерно 80 секунд рентгеновского излучения относительно оптического. В рамках предложенной модели это объясняется, как результат конечного времени пролета горячей плазмы струи (джета) оптически непрозрачного аккреционного «колодца». Оптическое (и ультрафиолетовое) излучение выходит почти мгновенно после модуляции внутреннего энерговыделения, а рентгеновский поток задержан в результате медленного пролета «'колодца»' плазмой, излучающей в рентгеновском диапазоне. В рамках этой модели можно впервые измерить длину оптически непрозрачного колодца - ~1012 см.

Revnivtsev, M., et al. «First simultanous X-ray and optical observations of rapid variability of supercritical accretor SS433», A&A, 424, L5, 2004

1.3.2 Поддержка наблюдений обсерватории ИНТЕГРАЛ.

Данные телескопа использовались для проведения оптической идентификации рентгеновских и гамма-источников, таких как IGR J17464-3213 (Хамитов и др., 2003), SAX J2103.5+4545 (Филиппова и др. 2004). Изображение поля источника SAX J2103.5+4545, полученное на телескопе РТТ150, показано на рисунке.

Поле источника SAX J2103.5+4545.

Одновременно с обсерваторией ИНТЕГРАЛ были проведены наблюдения рентгеновского источника X-Persei. По этим данным было определено, что во время наблюдений ИНТЕГРАЛа Be-звезда в системе X-Persei находилась в «высоком» состоянии, когда вокруг нее имеется диск, который образуется из вещества ее звездного ветра. При помощи Куде-спектрометра высокого разрешения был получен спектр Be-звезды в системе X-Persei и исследована переменность линии H_alpha (Лутовинов и др. 2004). Было показано, что переменности не наблюдается. Верхние пределы на эту переменность, оказались ниже уровня, на котором эта переменность регистрировалась ранее. Это говорит о том, что, вероятно, во время наблюдений ИНТЕГРАЛа, пульсар в системе X-Persei светил не через диск звездного ветра Be-звезды. Такие данные помогают интерпретации результатов наблюдений обсерватории ИНТЕГРАЛ. Подробная статья по результатам этих наблюдений готовится к публикации.

 

1.3.3 Быстрая фотометрия.

Высокая скорость считывания ПЗС-матрицы Andor позволило использовать ее в качестве быстрого фотометра. При этом, высокая квантовая эффективность в сочетании с возможностью получать одновременное измерение стандартов поля и проводить разностную фотометрию, дает возможность резко увеличить чувствительность по сравнению с фотоэлектрическими быстрыми фотометрами. Таким образом, в этом классе задач появилась возможность получать данные, которые раньше можно было получить только на больших (~10м) телескопах.

В этом направлении получено несколько хороших результатов. Начиная с осени 2003 г на телескопе проводились наблюдения барстера GS1826-24. Получено около 10 временных рядов измерений потока оптического излучения, длиною по несколько часов каждый. Временное разрешение составляло около 10 с, что является очень хорошим показателем, учитывая слабость объекта в оптике - около 18m. Это разрешение позволило не только изучать долговременную переменность источника, но и регистрировать оптическое излучение во время термоядерных всплесков на поверхности нейтронной звезды. Сравнивая это излучение с излучением в рентгеновском диапазоне, по данным спутника RXTE, была получена оценка размера аккреционного диска в системе GS1826-24, а так же оценка наклонения (Мещеряков и др., 2004). В течение 2004 г были проведены дополнительные наблюдения этого источника. Эти данные в настоящее время обрабатываются.

А.В.Мещеряков, И.М.Хамитов, М.Г.Ревнивцев, Р.А.Буренин, М.Р.Гильфанов, М.Н.Павлинский, Р.А.Сюняев, З.Аслан, Е.Гогуш «Оптические и рентгеновские наблюдения термоядерных всплесков барстера GS1826-24 в сентябре-октябре 2003г.» Письма в астрономический журнал, 30, н.11, стр.827, 2004

1.3.4 Космические гамма-всплески.

В этом году удалось пронаблюдать 4 гамма-всплеска: 040403, 040827, 040924, 041006. По результатам этих наблюдений было опубликованы циркуляры GCN.

Гамма-всплеск 040924 оказался интересен тем, что впервые оптическое послесвечение наблюдалось от короткого гамма-всплеска, длительность которого была всего около 1 с. Ранее такие наблюдения проводить не удавалось, причем было неясно, связано ли это с эффектами отбора (области локализации коротких всплесков получаются гораздо менее точными), или является настоящим свойством источников гамма-всплесков. Наблюдения на РТТ150 показали, что, по крайней мере в одном случае, послесвечение короткого всплеска мало чем отличается от послесвечений длинных гамма-всплесков. На нашем телескопе был получен основной объем данных по этому всплеску.

Рис. Кривая блеска послесвечения гамма-всплеска 040924.

 

Khamitov I., Aslan Z., Parmaksizoglu M., Burenin R., Pavlinsky M., Sunyaev R., Bikmaev I., Sakhibullin N., «GRB 040403: optical observations.», GCN Circ. N 2562 (2004).

Burenin R., Pavlinsky M., Sunyaev R., Khamitov I., Aslan Z., Bikmaev I., Sakhibullin N., «GRB 040827: RTT150 optical observations.», GCN Circ. N 2679 (2004).

I.Khamitov, Z.Aslan, C.Yesilyaprak, U.Kiziloglu, E.Gogus, A.Alpar, R.Burenin, M.Pavlinsky, R.Sunyaev, I.Bikmaev, N.Sakhibullin, «GRB040924, RTT150 optical observations», GCN Circ. 2752, 2749, 2740. 2004

I. Bikmaev, N. Sakhibullin, M.A. Alpar (Sabanci U.), U. Kiziloglu, S. Balman, Z. Aslan, I. Khamitov, R. Burenin, M. Pavlinsky, R. Sunyaev, «GRB041006: RTT150 Optical Observations», GCN Circ. N 2826 (2004).


1.4 Разработка детекторов для современных задач рентгеновской астрономии

В области рентгеновской и гамма астрономии наименее исследован диапазон энергий от 10 кэВ до десятков МэВ, что связано с экспериментальными трудностями создания телескопов с кодированной апертурой или комптоновских телескопов, работающих в этом энергетическом диапазоне. Для обоих типов телескопов требуются спектрометрические детекторы большой площади, обладающие координатной чувствительностью.

В последние несколько лет в телескопах для наблюдения астрофизических объектов в рентгеновском диапазоне энергий в качестве приемников излучения стали применяться детекторы на основе полупроводниковых соединений CdTe и Cd1-xZnxTe. Большой атомный номер (ZCd=48, ZTe=52) и, соответственно, высокая эффективность регистрации рентгеновского излучения, а также высокое удельное сопротивление, позволяющее работать при комнатных температурах или при небольшом захолаживании до –20 - –30  С, делают эти детекторы очень привлекательными для использования в бортовых приемниках рентгеновского излучения в диапазоне энергий 10 - 500 кэВ.

Для исследования свойств этих детекторов нами была создана экспериментальная установка, содержащая две вакуумные камеры с холодильником на элементах Пельтье и малошумящим охлаждаемым зарядо-чувствительным усилителем (ЗЧУ), систему вакуумирования, систему терморегулирования, систему высоковольтного питания детектора и систему усиления, формирования и амплитудного анализа сигналов с детектора. ЗЧУ одной из камер был настроен не регистрацию энерговыделений до 1 МэВ, а другой – до 10 МэВ. Первая камера использовалась для регистрации рентгеновского излучения радиоактивных источников, а вторая – для регистрации энерговыделений от альфа-частиц источника Pu-239.

С помощью этой установки были исследованы основные характеристики, определяющие качество детекторов: удельное сопротивление кристаллов при различных температурах, произведение подвижности носителей заряда на их время жизни, энергетическое разрешение при регистрации рентгеновских фотонов. В качестве примера на рисунке приведен спектр рентгеновского излучения источника Am-241, зарегистрированный с помощью одного из детекторов.

 

ТЕМА  «ИНТЕГРАЛ»

Практически сразу после запуска обсерватория “Интеграл” стала давать ценную научную информацию. В 2004 г. сотрудниками отдела Астрофизики высоких энергий было открыто 9 новых источников: IGR J01363+6610, IGR J16465-4507, IGR J17331-2406, IGR J17475-2822, IGR J17507-2856, IGR J18027-2016, IGR J18406-0539, IGR J18450-0435, IGR J18490-0000 - в дополнение к 10 источникам, открытым в 2003 году (а всего к настоящему времени обсерваторией ИНТЕГРАЛ открыто 46 новых источников). Ведется работа по их оптическому отождествлению и выяснению их природы. Кроме того, проводилось регулярное мониторирование галактической плоскости и поля галактического центра обсерваторией ИНТЕГРАЛ с целью поиска рекуррентных вспышек и реактиваций известных транзиентных источников. Было проведено картографирование неба в жестких рентгеновских лучах в области касательной к Галактическому спиральному рукаву в созвездии Стрельца. Проведено  уникальное измерение спектра сверхмассивной черной дыры Sgr A*. Среди нескольких обычных гамма-всплесков зарегистрирован  гамма-всплеск GRB 031203: гамма-всплеск с необычайно малой энергией. Проведены исследования широкополосных спектров (1-100 кэВ) ряда Галактических и внегалактических источников.

 (Академик Сюняев Р.А. rs@hea.iki.rssi.ru, д.ф.-м.н. Павлинский М.Н. 333-23-66, mykle@hea.iki.rssi.ru, д.ф.-м.н. Гребенев С.А., 333-22-22, sergei@hea.iki.rssi.ru )

 

 

ТЕМА  «РТТ-150»

3.1. Разработка, изготовление, монтаж и настройка систем тонкой коррекции ориентации телескопа для нового фокального инструмента

Продолжены работы по техническому переоснащению системы управления телескопом, начатой в 2002 г. Профинансировано изготовление деталей автогида.

В 2004 г. для телескопа РТТ 150 было приобретено колесо фильтров FG-8-10, в котором могут быть установлены 8 квадратных фильтров размером 50х50 мм .

Для установки колеса фильтров был разработан проект модернизации устройства автогидирования телескопа ФГ-1М.

Основными целями модернизации устройства являлись:

-        замена колеса фильтров СFW-8 на колесо FG-8-10 с квадратными фильтрами 50х50 мм, что позволит увеличить поле зрения матрицы DW436 зрения с 4x4 до 8х8 угл мин за счет отсутствия диафрагмирования .

-        замена гидирующей матрицы ST-8 на матрицу AP-47, что облегчит задачу выбора гидирующей звезды за счет увеличения поля зрения гидирующей матрицы с 2x2 до 4x4 угл. мин. и увеличения ее чувствительности

Кроме того задачами модернизации являлись:

-        создание посадочного места для обеспечения возможности установки различных основных матриц,

-        вынос вентиляторов охлаждения матриц за пределы корпуса устройства автогидирования, что позволит исключить конвективные потоки внутри корпуса;

-        повышение удобства обслуживания элементов устройства за счет организации более удобного доступа к ним.

Рис. 1. Конструкция модернизированного устройства автогидирования

 

Кроме этого, были частично профинансированы запланированные ранее покупки комплектующих для компьютера управления Industrial PC. Один компьютер в настоящее время находится в обсерватории, второй передан для временного использования в Казанский Государственный Университет (КГУ) для продолжения работ по системе управления. В настоящее время проводится работа по переводу систем управления под сетевую архитектуру на базе TCP/IP. Работы по данному направлению не завершены и требуют дальнейших шагов.

Рис. 2. Внешний вид Industrial PC для системы управления телескопом.

 

2.2. Проведение научных наблюдений за 2004 год

Программа наблюдений, которые проводились ИКИ РАН в 2004 году, включала в себя наблюдения различных типов источников, в том числе:

-        наблюдения скоплений галактик из большого каталога далеких скоплений, обнаруженных по рентгеновским изображениям спутника РОСАТ

-        Поддержка наблюдений обсерватории ИНТЕГРАЛ.- Данные телескопа использовались для проведения оптической идентификации рентгеновских и гамма-источников, например SAX J2103.5+4545 и рентгеновского источника X-Persei.

-        Наблюдения оптического послесвечения четырех гамма-всплесков 040403, 040827, 040924, 041006.

Высокая скорость считывания ПЗС-матрицы Andor позволило использовать ее в качестве быстрого фотометра. При этом, высокая квантовая эффективность в сочетании с возможностью получать одновременное измерение стандартов поля и проводить разностную фотометрию, дает возможность резко увеличить чувствительность по сравнению с фотоэлектрическими быстрыми фотометрами. Таким образом, в этом классе задач появилась возможность получать данные, которые раньше можно было получить только на больших (~10м) телескопах. Благодаря этомы была проведена быстрая фотометрия барстера GS1826-24.


Тема РАДИОИНТЕРФЕРОМЕТР. Исследования активных областей звездообразования в газопылевом комплексе Ориона и AGN объектов.

Научный руководитель д.ф.-м.н. Л.И. Матвеенко

 

Исследования H2O мазерного источника в  Орионе KL

 

Завершена обработка данных наблюдений на глобальной РСДБ сети активной области мощного H2O мазерного излучения в туманности Ориона эпоха 1979-1991 гг. Обработка данных проводилась по программам, разработанным в ИКИ. Получены карты с разрешением 0.5 мсек дуги (0.25 а.е.) и 0.07 км/c. Диапазон яркостных температур достигает 50 дБ, что позволило выделить как тонкую, так и протяженные структуры активной области. На рис. 1 показана структура области вспышки в различные эпохи наблюдений, приведены яркостные температуры компонент и их скорости. Высокоорганизованная структура состоит из цепочки ярких компонент (Tb ~ 1015 K) и размерами ~ 0.5 а.е., распределенных вдоль протяженной 25 x 0.5 а.е. подложки (Tb ~ 1011K). Меняются яркости компонент, но их относительное положение и скорости практически остаются прежними. Компоненты включают компактные источники  £ 0.1 мсек. (£0.05 а.е.) и Tb ³1016 K. Скорости компонент плавно меняются вдоль цепочки в пределах 6 - 9 км/c. На рис. 2 представлены скорости компонент в зависимость от их относительного положения. Переменность супермазерного излучения определяется изменением яркости центральных компонент. Скорость линии излучения практически не меняется, v=7.6 км/с. В период снижения активности 1988 г. на расстоянии 60 мсек от центра в направлении 130о обнаружена группа компонент, соответствующая струе - джету. Последующие исследования во второй период активности 1998-1999 гг. установили их связь с биполярным потоком вещества, рис. 3.

 Поляризация супермазерного излучения достигает 50-70%. В настоящее время разрабатывается методика калибровки и матобеспечение построения карт в поляризованном излучении. Получены первые изображения активной области, рис.3. Отрезки линий соответствуют величине и ориентации поляризованного излучения. Уровень поляризации достигает 40 %.

Наблюдаемая структура активной области супермазерного H2O излучения соответствует модели в виде аккреционного диска и биполярного потока. Диск разделен на протопланетные кольца, наблюдаемые с ребра. Водяной пар - результат сублимации льдинок сдувается звездным ветром и радиационным давлением образует ореолы – «расширяющиеся мазерные кольца». Накачка мазеров определяется ИК излучением и звездным ветром. Изменение скорости (наблюдалось излучение лишь правой части диска) .предполагает кеплеровское движение колец (см. рис. 2А) вокруг центрального тела массой М » 0.1 - 0.9 M¤. Радиус внутреннего протопланетарного кольца составляет  Rmin= 1-16 a.e., его скорость вращения Vrot = 6±1 км/c. Радиус внешнего кольца Rmax = 29 - 45 а.е, скорость его вращения Vrot = 3 ± 1 км/c.

Излучение мазерных колец сконцентрировано в азимутальной плоскости и имеет высокую направленность (~10-3 стерад), что снижает вероятность их видимости. Кольцо, наблюдаемое с ребра, представляет собой два ярких компактных источника, соединенные слабой перемычкой. Скорости источников имеют противоположные знаки. Яркостные температуры колец составляют Tb = 1012 - 1013K. Наблюдаемые сверхвысокие температуры компактных источников определяются усилением на скорости 7.6 км/с в окружающей оболочке в 100 - 1000 раз. Оболочка аккрецирует на центральное тело со скоростью Vоб » 4.3 км/c. Градиент скорости в оболочке достигает 1 км/c.

Неравномерность распределения H2O молекул в кольцах приводит к неравномерности излучения в азимутальной плоскости. Вращение колец вызывает наблюдаемую переменность. Высокая активность области связана с повышением усиления в оболочке и прецессией диска, ориентацией его плоскости на наблюдателя.


Рис. 1. Структура области вспышки в Орионе КЛ, эпоха 1971-1991.

 

 

 

Рис.2. Зависимость скорости  компонент от их относительного положения.

А – Кеплеровское движение; Б – Экспериментальные данные. Линии соответствуют кеплеровскому вращению для М = 0.1, 0.5 и 0.9 M¤.


 

1.5 Л.И.Матвеенко, Демичев В.А. Динамика Н2О супермазерного источника в Орионе КЛ - эпоха 1982-1991. ВАК-2004 "Горзонты Вселенной" МГУ, ГАИШ, 3-10 июня 2004 г.

1.6 Демичев В.А., Матвеенко Л.И. "Область звездообразования в Orion KL, эпоха 1985.8" Астрономический журнал, 2004, № 12, Т. 81, С. 1074-1083.

 

 

Рис. 3. Распределение линейной поляризации в биполярном потоке в активной зоне Ориона КЛ, эпоха 1998.9.

 

Рис.4. Профиль линии излучения эжектора в относительных единицах (эпоха 1994.4) Штриховой линией показан гауссовый профиль равной ширины по уровню 0.5.

Рис. 5. Профили линии излучения области эжектора в логарифмическом масштабе.

 

Обнаружен и исследован яркий Tb 1017 К, компактный 0.05 а.е Н2О мазерный источник – эжектор потока частиц. Профиль линии его излучения – гауссовый с широкими крыльями, рис. 4 и 5. Ширина профиля линии по уровню 0.5 равна Dv = 0.42 ± 0.02 км/с, скорость v = 7.64 ± 0.05 км/с. Форма профиля линии практически сохраняется в течение всего периода активности 1998–1999 гг. Профиль линии может быть представлен в виде двух гауссиан с интенсивностью F1 3 × 105 Ян и F2 400 Ян, ширины линий по уровню 0.5 равны Dv1 = 0.42 км/с и Dv2 = 2.2 км/с, соответственно. Излучение эжектора определяется двумя потоками частиц, движущимися в противоположных направлениях. Излученные линии смещаются друг относительно друга на величину разности проекций скоростей потоков. Излучение эжектора далее усиливается в окружающей среде - оболочке более чем на два порядка в полосе Dv1 = 0.42 км/с.

1.7 Л.И.Матвеенко, Профиль линии супермазерного Н2О излучения: структура области эжектора в Орионе КЛ // Астроном.журнал  2004, 81, 8, 726-731

 

Исследования AGN обьектов

Проведены спектральные наблюдения квазара 3С 345 в диапазонах 5 ГГц и 8 ГГц на 100-м радиотелескопе в Эффелсберге в левой и правой круговых поляризациях в двух положениях облучателя, отличающихся на ±l/8. Профиль 3C 345 представлен на рис. 6, профиль калибровочного источника W3 на рис. 7. Исследовано поглощение синхротронного излучения квазара в окружающей HII области в рекомбинационных радиолиниях H(92-94)a и Н(78-79)a.

Верхний предел отношения температур антенны в линиях поглощения линиях H(92-94)a и континуума Талак < 0.7 %.  Обнаружено поглощение в линиях Н(78-79)a, отношение температур антенн равно Талак = 0.3 %, определена ширина линии Df = 5.3 ± 0.08 МГц.

Измеренное значение частоты линии отличается от расчетного на Df = (10.75  ± 0.60) МГц, что соответствует Dz = 0.00126 ± 0.00007 и z = 0.59374 ± 0.00007.

 

Л.И.Матвеенко, Д.А.Грэм, Д.А.Ценсус Поглощение в рекомбинационных радио линиях в AGN объектах // Актуальные проблемы внегалактической астрономии, Пущино 26-29 апреля, 2004

L.I.Matveyenko AGN HII region: Radio variability and Recombination Lines // Conference AGN variability from X-rays to Radio Waves, June 14-16, 2004, CrAO, Ukraina.

 

Рис.6. Усредненный профили линии поглощения источника 3С 345 в линиях с главными квантовыми числами n = 78-79,  l = 3 см.

 

 

Рис.7. Усредненный профили линии калибровочного источника W 3  в линиях с главными квантовыми числами n = 91-92 , l = 3 см.

 

Крабовидная туманность

 

Исследована переменность источников в Крабовидной туманности, связь с активностью нейтронной звезды – источника релятивистских частиц.

1.8 L.I.Matveyenko, The Crab nebula and Radio Variability // Scentific and Technical Workshop Low Frequency Radio Science, Sept. 2004. Santa Fe.

Руководитель темы: д.ф.м.н.  Л.И.Матвеенко lmatveen@iki.rssi.ru, тел 333-2389.

 

 

Тема АСТРОПЫЛЬ. Исследование пыли в космосе и атмосфере Земли астрономическими методами. Научный руководитель И.А. Маслов.

 

Завершена обработка большого количества поляризационных наблюдений сумеречного неба, проведенных в 2002-2003 годах в широкоугольных спектральных полосах, близких к полосам V и R. Основной целью этих наблюдений было выделение однократного рассеяния на частицах атмосферного аэрозоля, оценка его вклада в общий фон сумеречного неба и поляризации при рассеянии света под прямым углом. Эффекты однократного аэрозольного рассеяния оказались очень слабыми в полосе V и более коротковолновой части спектра, но существенно усиливались в красной спектральной области. Аэрозольное рассеяние проявляет себя уменьшением поляризации в светлый период сумерек, когда прямые солнечные лучи начинают освещать тропосферу. Этот эффект обладает сильной переменностью от сумерек к сумеркам и сопровождается также изменениями распределения яркости и поляризации по небу. Анализ этих данных показал, что вклад аэрозольного рассеяния вблизи полосы V в ясные сумерки не превосходит нескольких процентов, но вблизи полосы R колеблется от 10% до 50%. Поляризация аэрозольного рассеяния под прямым углом в обеих полосах составляет около 20%. Изменения вклада аэрозольного рассеяния с погружением Солнца под горизонт показывают, что это рассеяние заметно в тропосфере, вплоть до высот около 17 км. Результаты исследований доложены на трех научных конференциях и направлены для опубликования в журнал «Космические исследования». (к.ф.-м.н. Угольников О.С., Маслов И.А., тел.333-4011, imaslov@iki.rssi.ru).

 

Проведены фотометрические наблюдения Луны во время полных теневых лунных затмений 4 мая и 28 октября. Инструментальная спектральная область содержала несколько полос в красной и инфракрасной области спектра, избегающая полос поглощения атмосферных газов. Целью подобных наблюдений является измерение оптической плотности земной тени на различных глубинах. Анализ подобной зависимости позволит разделить преломленное и рассеянное в атмосфере солнечное излучение, попадающее затем на затмившуюся Луну. Подобные измерения в сопоставлении с метеорологическими данными в окрестностях земного терминатора во время затмения позволят исследовать зависимость коэффициента поглощения в атмосфере от высоты. (к.ф.-м.н. Угольников О.С., Маслов И.А., тел.333-4011, imaslov@iki.rssi.ru).

 

В плане подготовки поляризационного обзора неба в диапазоне 2-5 мкм разработан телескоп, охлаждаемый до криогенных температур.  Телескоп предназначен для астрономических исследований фона неба, создаваемого межпланетной и межзвездной пылью в инфракрасной области спектра, и представляет собой макет космического телескопа, который может использоваться при наземных и баллонных наблюдениях. Телескоп включает в себя объектив, бленду и матричные фотоприемники, которые размещаются в вакуумном пространстве азотного криостата. Аппаратура устанавливается на силовой раме в цапфах. При этом обеспечивается возможность наклона оптической оси объектива в предела зенитных углов от 0 до 60 градусов. Криостат разработан совместно с Институтом прикладной физики РАН (г. Нижний Новгород):

·       максимальные габариты охлаждаемой аппаратуры – диаметр 250 мм, высота 400 мм;

·       масса охлаждаемой аппаратуры – до 20 кг;

·       световой диаметр входного оптического окна – 200 мм;

·       рабочая температура объектива и фотоприемников  – 80 К;

·       объем заливаемого жидкого азота – 18-20 литров;

·       время захолаживания объектива до рабочей температуры – 15 часов;

·       время хранения жидкого азота (без тепловыделения на фотоприемном устройстве и долива жидкого азота) – 38 часов;

·       суммарная масса криостата с силовой рамой и телескопом – не более 60 кг.

Светосильный четырех-зеркальный охлаждаемый объектив "Асфар-22" разработан в ФГУП ГОИ им. С.И. Вавилова (г. С.-Петербург):

·       световой диаметр                              150 мм;

·       фокусное расстояние                        270 мм;

·       поле зрения                                       5 градусов;

·       диаметр изображения звезды          40 мкм.

Фотоприемная матрица инфракрасного диапазона на основе приборов с зарядовой связью (ПЗС) содержит фоточувствительные элементы  на  барьерах Шоттки из силицида платины. Матрица разработана в ФГУП "НИИФП им. Ф.В. Лукина (г. Москва) и имеет следующие характеристики:

·       спектральный диапазон                                           2-5 мкм

·       рабочая температура                                                78 К

·       эквивалентная шуму разность температур            0.08 К

·       неоднородность чувствительности, не более        3%

·       число элементов разложения (пикселей)              160х120

·       шаг чувствительных элементов                               56х56 мкм

·       кадровая частота                                                        25-100 Гц

В телескоп могут устанавливаться два фотоприемных устройства с использованием дихроического или поляризационного светоделителя (Маслов И.А., тел.333-4011, imaslov@iki.rssi.ru).

 

Проведен анализ данных американского эксперимента COBE (прибор DIRBE, NASA, 1989 г.). Выявлено несколько направлений на небесной сфере, вокруг которых фоновая поляризация в трех инфракрасных каналов (1.25, 2.2 и 3.5 мкм) имеет на масштабах порядка 10° заметную тангенциально ориентированную составляющую, что может быть следствием рассеяния света от этих источников на межзвездной пыли в нашей Галактике. Выявлено несколько направлений (см. Таблицу), в которых величина такого поляризационного сигнала существенно превышает шум.

 

Полоса, мкм

Номер точки

Галактические

Сигнал,

кЯн/ср

долгота, °

широта, °

1.25

114

90.6

-1.3

19.2±1.7

116

90.5

+1.6

13.9±1.0

119

92.9

+1.6

8.1±1.2

299

97.6

+7.3

-5.1±0.7

2.2

112

85.3

+7.1

4.6±0.6

150

74.7

+9.3

-5.3±0.7

195

76.9

+12.0

5.0±0.7

196

79.6

+12.2

4.9±0.7

2448

200.1

+2.0

17.6±2.4

4157

333.4

+8.4

-9.6±1.3

5424

267.8

-7.2

6.9±0.7

5435

265.3

-7.1

7.4±0.7

3.5

112

85.3

+7.1

4.0±0.6

125

92.8

+4.5

3.5±0.5

126

95.2

+4.5

3.7±0.5

 

Можно отметить направление с галактической долготой вблизи 90° и небольшой положительной галактической широтой близкое к направлению на темное пылевое облако Cyg B, вокруг которого во всех трех каналах наблюдается тангенциально поляризованное излучение. Сравнение наших результатов с результатами моделирования распределения диффузного инфракрасного галактического излучения  (H.T. Freudenreich 1996, Astrophysical Journal v.468 p.663) показывает на наличие инфракрасных источников в галактической плоскости, в том числе  вблизи долготы 90°, рассеиванием света от которых можно объяснить выявленное нами тангенциальное распределение  линейной поляризации фона.(Маслов И.А., тел.333-4011, imaslov@iki.rssi.ru)

 


Тема РЕЛИКТ. Создание высокочувствительных приемных систем для исследований микроволнового реликтового излучения и для радиоастрономических исследований. Научный руководитель д.ф.-м.н. И.А. Струков

 

2. Выполненные этапы.

- Исследованы шумовые характеристики вырожденных параметрических усилительных систем с модовой развязкой.

- Изготовлен макет радиометра сантиметрового диапазона на базе синхронной параметрической системы.

-  Разработан и изготовлен малошумящий усилитель УВЧ-6575 для наземного обеспечения проекта «Радиоастрон».

- Спроектирована антенная система приемника субмиллиметрового диапазона, которая может быть использована в рамках проекта «Миллиметрон».

 

Основные результаты, полученные в ходе выполнения проекта.

2.1. Исследование шумовых характеристик параметрических систем

Основное внимание на данном этапе работы было уделено исследованию возможностей реализации схемы радиометра на базе выражденного параметрического усилителя (ВПУ) с модовой развязкой. Основные трудности в реализации систем с предельной чувствительностью сопряжены с чрезвычайно низким уровнем шумовой температуры усилителя, которая составила на 60ГГц порядка Тш=10К, а также необходимостью создания системы линейных (матричных) приёмников. Это потребовало выработать требования к метрологическим аспектам измерения чувствительности радиометра, а также выявило необходимость разработки и создания генераторов накачки мм диапазона длин волн с низким уровнем амплитудных и фазовых шумов. Для перечисленных задач были проведены исследования стабильности современных источников шумового излучения, предназначенных для калибровки радиометрических систем.  Одной из важных задач при создании приёмных систем с предельной чувствительностью является разработка методики исследования нестабильности коэффициента передачи на уровне флуктуаций dG/G<10-5. Было определено, что используемые источники шумового излучения имеют недостаточную стабильность для надежного исследования как компенсационных  радиометров на базе ВПУ, так и исследуемой схемы.

Для того, чтобы на базе анализируемых устройств можно было создавать линейки приёмных модулей, требуется новые варакторные структуры с последовательным или параллельным включением варакторов. При создании линейки радиометров возникают вопросы уменьшения габаритов системы, устранение их взаимного влияния и др. Для их решения желательно иметь один общий генератор накачки. Частота накачки ВПУ в два раза больше частоты принимаемого сигнала. Для ВПУ в диапазоне  требуются генераторы на высокие для современных твердотельных генераторов частоты , с мощностью более на каждый усилитель (с учётом потерь в фильтрах и соединительном тракте). Одним из решений этой проблемы является применение удвоителей частоты. Возможны два варианта: 1) Сигнал от общего генератора разводится с помощью ответвителей мощности на ВПУ, в тракте накачке которых стоят удвоители частоты; 2) После генератора стоит мощный умножитель, а затем ответвители мощности. В обоих случаях нужны эффективные умножители частоты, маломощные и мощные. Для этих целей была разработана программа для расчёта работы варакторных умножителей. Методом последовательных приближений решается нелинейная задача о преобразовании мощности генератора, поступающей на нелинейную ёмкость варактора, на гармоники частоты генератора. Исходными данными для программы являются параметры полупроводниковой структуры варактора, задаваемые при его изготовлении, а также параметры контактирующей иглы. При этом принимались в расчет такие тонкие  факторы, как шунтирующие ёмкости, возникающие на конце иглы и на периферии лунки диода, параметры и добротность камеры, коэффициент нелинейности ёмкости варактора, кратность умножителя и другие. Программа позволяет выбрать и оптимизировать задаваемые параметры с целью получения максимального КПД при заданной выходной мощности умножителя. В частности, можно рассчитать требуемые ёмкость и пробивное напряжение варактора,  геометрические размеры камеры умножителя. Программа может быть модернизирована для расчёта умножителей с другими типами варакторов.

Была показана возможность создания умножителя на 180 ГГц с выходной мощностью 100 мВт и КПД порядка 15%, определены требования к варакторным структурам.

2.2. Создание радиометра см диапазона на базе синхронной параметрической системы

    В качестве основы для создания радиометра была использована система, состоящая из вырожденного параметрического усилителя, двухполосного преобразователя частоты, задающего генератора-гетеродина и удвоителя частоты гетеродина в качестве источника сигнала накачки. На выходе преобразователя частоты установлен малошумящий усилитель промежуточной частоты с встроенным квадратичным детектором и предварительным усилителем сигнала на частоте модуляции. Для обеспечения возможности работы в модуляционном режиме, на входе радиометра установлен переключатель на базе циркулятора на феррите с внутренним магнитным полем. Переключатель управляется импульсным магнитным полем с помощью одновиткового элетромагнита. Для обеспечения высокой стабильности работы, усилительная часть радиометра помещена в герметизированный теплоизолирующий кожух и поддерживается при стабильной температуре при помощи системы терморегулирования. Исполнительными элементами системы терморегулирования являются термоэлектрический охладитель и активный транзисторный нагреватель. Питание радиометра осуществляется от встроенного вторичного источника питания импульсного типа с выходными линейными стабилизаторами.  Изготовлен экспериментальный образец усилительной части радиометра со следующими параметрами:

- диапазон рабочих частот от 21 до 23 ГГц;

- чувствительность 12 мК;

- габаритные размеры 400х500х400 мм,

- потребляемая мощность не более 100 Вт,

- питание от сети 220 В/50 Гц.

2.3. Создание интегральных  приемников дм и см диапазона

    Были разработан новый метод определения шумовых параметров сверхвысокочастотных усилительных транзисторов. Метод основан на определении эквивалентной схемы транзистора на основании результатов измерений матрицы рассеяния и выходной мощности шума полупроводникового прибора при различных импедансах источника сигнала. Создана специальная компьютерная программа расчета, позволяющая легко модифицировать модели транзисторов и описывать элементы используемого измерительного тракта. Получено хорошее соответствие измеренных и рассчитанных параметров транзисторов, что дает основание говорить о высокой достоверности полученного результата. Разработанный метод удобно применять для измерения шумовых параметров транзисторов как в сантиметровом, так и в миллиметровом диапазонах длин волн.

Был разработан и изготовлен образец малошумящего транзисторного усилителя УВЧ-6575, предназначенного для предварительного усиления сигналов в канале приема научной информации проекта «Радиоастрон». В состав усилителя входят:

- малошумящий входной и промежуточные каскады;

- полосовой фильтр;

- выходной усилительный каскад с большим динамическим диапазоном;

- стабилизатор и инвертор питания;

- цепи защиты усилителя по питанию.

    Усилитель выполнен в виде отдельного модуля в герметичном корпусе с герметичными разъемами и узлами крепления. После настройки и испытаний усилитель откачивается и заполняется инертным газом. Такое конструктивное исполнение усилителя допускает его установку вблизи приемной антенны и обеспечивает качественную работу на открытом воздухе.

Усилитель УВЧ-6575 имеет следующие характеристики:

- диапазон рабочих частот от 6500 до 7500 МГц;

- эквивалентная входная шумовая температура не более 60 К;

- среднее значение коэффициента усиления в рабочем диапазоне частот равно 30 дБ, при  неравномерности не более 1,5 дБ (размах);

- выходная мощность при компрессии 1 дБ равна 10 дБм;

- КСВН входа не превышает 2, а выхода 1,5 в рабочем диапазоне частот;

- диапазон рабочих температур от минус 400С до +500С;

- рабочее напряжение питания от 9 до 12 В, потребляемый ток не более 150 мА.

   

2.4. Проектирование и расчет антенной системы приемника субмм диапазона

    Были проведены исследования и расчеты методов согласования матрицы приемных болометров субмиллиметрового диапазона с антенной системой проекта Субмиллиметрон». Элементы антенной системы изображены на Рис.1.

Основные элементы антенной системы:       

  • Главное зеркало
  • Вторичное зеркало
  • Согласующая линза
  • Матрица планарных антенн, состоящая из полусферической линзы с просветлением и матрицы планарных приемников. Согласующая линза и матрица планарных антенн помещаются в криостат.

Предлагаемая матрица антенн имеет размер 8 х 8 элементов. Строки матрицы отличаются частотным диапазоном, и перекрывают диапазон частот от 300 до 3000 ГГц, образуя, таким образом, 8 частотных каналов. Частотное разрешение обеспечивается резонансными свойствами элементарной антенны, при этом центральная частота определяется размерами элементарной антенны. Диаграммы направленности ближайших антенн в каждой строке перекрываются по уровню -3 дБ, что обеспечивает полное покрытие принимаемого строкой изображения. В каждой элементарной антенне имеется два детектора, работающих в двух ортогональных поляризациях.

Элементарные антенны формируются методом электронной или фотолитографии на диэлектрической пластине с eps=10…12 (Si, сапфир). Пластина с элементарными антеннами устанавливается на полусферу из того же материала. Для устранения отражения от границы диэлектрика полусфера и пластина покрываются просветляющим покрытием.

Лучше других удовлетворяет поставленной задаче кольцевая антенна, о которой и пойдет речь ниже. Моделирование антенны производилось в низкочастотной части диапазона, в окрестности 300 ГГц. В моделировании диаметр линзы принимался равным 2000 мкм. В качестве диэлектрика принимался Si, eps=11.7, материал просветляющего покрытия имел eps=3.4. Внутренний диаметр кольца 150 мкм, ширина кольца 15 мкм. Детекторы устанавливаются во взаимно-перпендикулярных плоскостях. На Рис.3 представлены результаты расчета импеданса нагрузки детектора и развязки между детекторами. Оптимальное согласование детектора с антенной получено на частоте около 350 ГГц при оптимальном сопротивлении детектора 50 Ом. Диапазон рабочих, определяемый по уровню рассогласования -3 дБ, составляет около 15%. Развязка между детекторами, в рабочем диапазоне частот не менее 15 дБ. На Рис.4 приведена диаграмма направленности антенны для детектора в плоскостях ZX, YZ, рассчитанная на частоте 300 ГГц. Из Рис.4 следует, что диаграмма направленности является симметричной относительно оси Z, ширина диаграммы направленности 26 градусов, подавление обратного излучения не менее 20 дБ.

Влияние просветляющего покрытия проверялось для щелевой антенны, размещенной на полусферической линзе с расширением. Моделирование проводилось в диапазоне частот 200 – 500 ГГц.

Был произведен расчет омических потерь в металле антенны, результаты представлены на Рис.6. Расчет проводился для трех значений проводимости металла антенны: 4.1e7 – Au при 300 K (красная кривая), 1.2e9 – Au при 10 K (зеленая кривая) и для идеального металла без омических потерь (синяя кривая). Из приведенных зависимостей следует, что на частоте последовательного резонанса вносимые металлом потери составляют коло 30% при 10 K и 70% при 300 K от полной величины импеданса нагрузки. Если в качестве металла антенны используется обычные металл, то его проводимость не зависит от температуры в диапазоне 0 – 10 К, что позволяет оценить потери в металле как 30% от активной части импеданса нагрузки.

Моделирование линейки детекторов для двух кольцевых антенн, разнесенных по оси Х на 160 мкм.

Импеданс нагрузки для каждого из четырех детекторов одинаков и представлен на Рис.7. Сравнивая Рис.3(А) и Рис.7, можно отметить, что наличие второй антенны не повлияло на величину импеданса нагрузки.

Детекторы 1 и 3 установлены в одной антенне, и работают на разные поляризации. Развязка между детекторами в различных антеннах представлена на Рис.8 (Б), (В) и (Г). Рис.8(Б) показывает развязку между параллельными антеннами 1 и 2, расположенными на одной линии. Величина развязки около 20 дБ. Рис.8(В) показывает развязку между перпендикулярными антеннами. Величина развязки около 24 дБ. Наихудшая развязка будет между антеннами 3 и 4, расположенными параллельно, что и следовало предположить. Эта величина составляет около 15 дБ.

На Рис.9 показана диаграмма направленности данной структуры для детектора 1 и 3 на частоте 300 ГГц.

Из Рис.9 следует, что диаграмма направленности для линейки детекторов практически не изменилась по форме (см. Рис.4) за исключением поворота на 15 градусов, возникшем из-за сдвига антенны на 80 мкм от оси линзы. Диаграммы направленности двух антенн пересекаются по уровню -3 дБ, что является оптимальным для покрытия поля зрения линейки. Угол поворота диаграммы направленности при сдвиге элементарной антенны на 80 мкм составляет 15 градусов, что обусловлено толщиной пластины расширения (в наших расчетах 300 мкм)

При согласовании интегральной антенны с оптикой телескопа положение элементарных антенн в фокальной плоскости интегральной антенны не является оптимальным. Одним из способов согласования оптики телескопа с интегральной антенной является создание промежуточного изображения элементарных антенн. Для этой цели необходимо увеличить толщину пластины расширения до величины около 0,5R. В этом случае элементарные антенны будут находиться на расстояние 0,11R, и создавать изображение в положение, определяемом законами геометрической оптики. Расчет показывает, что для L = 0.5R, изображение будет находиться на расстояние приблизительно 2R от центра сферы. Согласование оптики телескопа с матрицей приемников требует также согласования на уровне физической оптики. Основным условием такого согласования является равенство размеров перетяжек гауссовых потоков в месте создания изображения. На Рис.10 дана зависимость параметров перетяжки интегральной антенны диаметром 15 мм от толщины пластины расширения L на частоте около 300 ГГц . Для L = 0.5R = 3750 мкм, диаметр перетяжки будеn около 4 мм.

 

При диаметре основного зеркала 60 см и облучение зеркала по оси на оси будет получено изображение с диаметром перетяжки около 3 мм. Коэффициент усиления антенны составит 55.22 дБ (ширина диаграммы направленности по уровню -3 дБ равняется 0,14 град.). В том случае, когда излучение падает на антенну телескопа под углом 0,5 градуса, что соответствует максимальному отклонению луча зрения, перетяжка будет создаваться на расстояние 1,5 см от оси телескопа. Диаметр перетяжки также равен 3 мм. Рис.12 показывает параметры антенны при таком положение перетяжки. Из рисунка следует, что сдвиг перетяжки на 1,5 см от оси привел только к повороту диаграммы направленности на 0,5 градуса. Помимо сдвига на 1,5 см от оси плоскость перетяжки поворачивается на угол в несколько градусов. Моделирование с поворотом и сдвигом перетяжки показало практическую неизменность коэффициента усиления антенны.

 

A)

 

Б)

Рис.1. Элементы антенной системы - А), матрица планарных антенн – Б).

 

 

 

 

 

 

(А)                                                                   (Б)

Рис.3. Импеданс нагрузки детектора (А), развязка (Б)

 

 

Рис.4. Диаграмма направленности антенны.

 

 

                            (А)                                                                  (Б)

Рис.5. Влияние просветляющего покрытия на импеданс нагрузки для щелевой антенны: (А) – без просветления; (Б) – с просветлением.

 

 

Подпись: Рис.6. Расчет влияния омических потерь в металле антенны.

 

 

 

 

 

 

                                                            

Рис.7. Импеданс нагрузки детектора.

 

(А)                                                                                           (Б)

(В)                                                                                               (Г)

Рис.8. Частотные зависимости развязок между различными антеннами: (А) 1 – 3; (Б) 1 – 2; (В) 1 – 4, (Г) 3 – 4.

 

 

 

(А)                                                                   (Б)

(В)                                                                   (Г)

Рис.9. Диаграмма направленности структуры, изображенной на Рис.7: (А) – сечение по плоскости ZX для детектора 1; (Б)- сечение по плоскости YZ для детектора 1; (В) – сечение по плоскости ZX для детектора 3; (Г)- сечение по плоскости YZ для детектора 3.

Рис.10. Параметры перетяжки в зависимости от величины расширения для линзы из Si диаметром 15 мм на частоте 300 ГГц.

 

 

Тема ЗВЕЗДЫ. Магнитогидродинамические, плазменные и релятивистские процессы в астрофизике. Научный руководитель д.ф.-м. н. Бисноватый-Коган Г.С.

 

Магниторотационный взрыв сверхновой

 

Исполнители:    д.ф.-м. н. Бисноватый-Коган Г.С.gkogan@iki.rssi.ru 333-45-88

к.ф.-м. н. Моисеенко С.Г. moiseenko@iki.rssi.ru

 

Впервые проведено двумерное численное моделирование задачи о магниторотационном взрыве сверхновой. Показано, что в двумерном приближении магниторотационный механизм, предложенный Г.С.Бисноватым-Коганом в1970 г., приводит к взрыву коллапсирующей сверхновой звезды. Энергия выбрасываемого при взрыве вещества составляет 0,6 (1051)эрг, что достаточно для объяснения взрыва сверхновых с коллапсирующим ядром. Расчеты были проведены для начального поля квудрупольного типа симметрии. На приведенном ниже рисунке представлено поле скоростей на развитой стадии взрыва (стрелки), цветом представлено распределение удельного углового момента. При взрыве сверхновой происходит разлет вещества, вынос углового момента из центральных областей звезды преимущественно в плоскости экватора, а также наблюдаемая несферическая (бочкообразная) форма остатка сверхновых объясняется в рамках данной модели.

В настоящее время магниторотационный механизм является единственным работающим механизмом взрыва коллапсирующих сверхновых, дающим достаточный для объяснения наблюдений выход энергии.

Публикации:
N.V.Ardeljan, Bisnovatyi-Kogan G.S., S.G.Moiseenko
Magnetorotational mechanism of supernova type II explosion 
Proc of IAU Colloquium 192 Supernovae (10 years of 1993J) 22-26April 2003 Valencia Spain (in press)
S.G.Moiseenko, G.S.Bisnovatyi-Kogan, N.V.Ardeljan
Magnetorotational supernova simulations 
Proc of the International Conference "1604-2004 Supernovae 
as Cosmological Lighthouses" (Padova, Italy, June 16-19, 2004), (San Francisco: ASP), (in press), astro-ph/0410330
 
N.V.Ardeljan, Bisnovatyi-Kogan G.S., S.G.Moiseenko
Magnetorotational supernovae
MNRAS (submitted) astro-ph/0410234
Г.С.Бисноватый-Коган, А.В.Тутуков Магнио-ротационные взрывы сверхновых звезд и образование нейтронных звезд в тесных двойных системах. АЖ 2004, 81, 797
 

Взаимодействие плотного молекулярного облака с космологическим гамма-всплеском и образование направленных выбросов

Исполнители к.ф.-м. н. Барков М.В. barmv@iki.rssi.ru 333-45-88

д.ф.-м. н.  Бисноватый-Коган Г.С.gkogan@iki.rssi.ru

Исследуется процесс взаимодействия излучения космологического гамма всплеска с плотной межзвездной средой (молекулярным облаком) материнской галактики. Основным механизмом взаимодействия межзвездной среды с жестким излучением гамма всплеска является комптоновское рассеяние гамма - квантов на электронах. При этом, релятивистские поправки на сечение взаимодействия электрона с жесткими фотонами могут оказаться существенными, ранее, при изучении поздних послесвечений (7 дней и позже) от гамма-всплесков это не делалось. Проводится комплексный анализ физических процессов протекающих в межзвездной среде, в процессе ее нагрева и охлаждения. В настоящий момент написан код, реализующий метод PPM (кусочно параболический метод) в двумерном приближении. Проведено исследование, учитывающее влияние изменения сечения взаимодействия электронов с энергичными фотонами. Уменьшение сечения взаимодействия приводит к уменьшению эффективности нагрева вещества за счет комтонэффекта примерно в 12 раз.

Проведены расчеты, моделирующие движение неоднородной межзвездной среды, прогретой гамма - всплеском. В случае изотропного гамма всплеска в однородном облаке скорость течения за фронтом ударной волны достигает 2200 км/с при энергии гамма всплеска 1.6*10^53 эрг и 5200 км/с при энергии гамма всплеска 1.6*10^54 эрг соответственно. Гамма всплеск может происходить в конической полости, что может быть вызвано асимметричным звездным ветром. В этом случае образуется узкий направленный выброс. Скорость истечения вещества может достигать 18000 км/с для анизотропного гамма всплеска с энергией 1.6*10^53 эрг. Скорость выброса равна 13000 км/с для анизотропного гамма всплеска с энергией 1.6*10^53 эрг и углом раскрытия конуса 24 градуса. В случае узкого гамма импульса выброс приобретает кольцеобразную форму.

Во всех расчетах максимальная скорость достигалась только вблизи источника гамма всплеска. Характерный радиус равен 0.1 пк.


 

 

 

 

 

 

 

 

 

 

 

 

 

 

 

 

 

 

 

 

 

 

 

 

 

 

 

 

 

 

 

 

 

 

 

 

 

 

 

 

 

 


На  рисунках изображены распределение температуры (log10 (T)) в различные моменты времени. Стрелочки показывают поле скоростей.

 

Публикации:

Барков М.В.,  Бисноватый-Коган  Г.С. 

“Взаимодействие плотного молекулярного облака с космологическим гамма-всплеском и образование направленных выбросов.”

Астрономический журнал. 2004. Том. 81, No. 12, С.1-12.

 

Barkov M. V., A.I. Neishtadt, Belinski V. A. and Bisnovatyi-Kogan G. S.,

“On chaotic behaviour of gravitating stellar shells.”

принято в печать CHAOS 2005 (март).

 

Barkov M. V., Bisnovatyi-Kogan G. S.

“Gamma-ray burst interaction with dense interstellar medium”

Proceedings of PSAD-2003 (Volgograd, Russia), Kluwer, accepted

 

Ускорение астрофизической плазмы давлением излучения в линиях в сильном гравитационном поле.

 

Исполнитель: к.ф.-м.н. Дородницын А.В.

 

       Наблюдения активных ядер галактик и квазаров прямо свидетельствуют  о наличии быстрых (до 0.2с) неколлимированных выбросов из их центральных областей. Наиболее вероятным механизмом, ответственным за подобное истечение является ускорение вещества за счет давления излучения в линиях. Ранее, в работе А.В.Дородницына (MNRAS, 2003, 339, 569, далее D1) был предложен новый механизм ускорения плазмы за счет давления излучения в линиях в сильном гравитационном поле и был впервые исследован эффект к которому приводит учет гравитационного красного смещения при формировании такого ветра. Было показано, что сила давления излучения оказывается функцией не только локального значения градиента скорости (эффект Соболева), но и градиента гравитационного потенциала. Учет этого эффекта приводит к образованию истечения существенно более быстрого чем в стандартной теории ускорения плазмы за счет поглощения излучения в линиях при формировании выбросов из активных ядер галактик.  Также было показано, что учет гравитационного красного смещения, наряду с обычным эффектом Соболева, приводит к существенному увеличению эффективности ускорения (до 50). В 2004 году было проведено дальнейшее исследование предложенного эффекта в  рамках общей теории относительности (ОТО).  Было впервые исследовано обобщение приближения Соболева в сильном гравитационном поле невращающейся  (шварцшильдовской) черной дыры (ЧД). Впервые была получена формула для оптической толщи в спектральной линии и силы давления излучения в приближении Соболева в сильном гравитационном поле ЧД.

       Уравнения, описывающие релятивистское истечение, были выведены в рамках ОТО, с учетом давления излучения, на фоне стационарной шварцшильдовской метрики.

Для решения задачи был разработан пакет программ, позволяющий численно решать краевую задачу для систем обыкновенных дифференциальных уравнений при помощи метода релаксации.

       В результате численного решения, полученной системы дифференциальных уравнений, было получено  транс-критическое решение, удовлетворяющее внутренним граничным условиям  и проходящее через критическую точку системы уравнений. Результаты подтвердили как качественные, так и количественные предсказания, сделанные в D1.


 

       При полном учете ОТО эффект ускорения в линиях проявляется сильнее, чем при использовании модифицированного гравитационного потенциала, типа Пачинского-Вита.

Результаты исследования были опубликованы в работе (Dorodnitsyn A.V., & Novikov I.D., 2004, ApJ, submitted).

 

 

 

 

 

 

 

 

 

 

 

 

 

 

Публикации:

 

Dorodnitsyn A.V.,  Novikov I.D. “On the structure of line-driven winds near black holes” 2004, ApJ, в печати, (astro-ph/0409363)

Дородницын А.В. “Выбросы из компактных объектов”,  в трудах конференции “Международная научная конференция, посвященная 100-летию со дня рождения выдающегося физика и астрофизика Георгия Антоновича ГАМОВА”, Одесса, 2004 Украина,  г. Одесса, 8 - 14 августа 2004 г.

Dorodnitsyn A.V. “On the formation of line-driven winds near compact objects”, в трудах конференции “Multiband approach to AGN”, Германия, г. Бонн, 30 Сентября – 2 Октября, 2004 г.

 

Структура аккреционных дисков с адвекцией вокруг черных   дыр с учетом переходной области между оптически тонкой и оптически толстой зонами диска

 

Исполнители :  д.ф-м н. Бисноватый-Коган Г.С.  gkogan@iki.rssi.ru 333-45-88

                           к.ф-м н. Артемова Ю.В. Julia@iki.rssi.ru

 

     Целью исследований являлось построение общей модели геометрически тонкого аккреционного диска с адвекцией, включающей в себя, как оптически толстую область, так и оптически тонкую с переходной областью. Исследование оптически тонкой области и переходной зоны в диске с учетом адвекции и сверхзвукового течения газа являлось принципиально новой областью исследований.

    Нами были получены самосогласованные модели аккреционных дисков с адвекцией для широкого диапазона значений параметра вязкости и скорости аккреции, которые включают оптически тонкую область диска, переходную область и оптически толстую область. Самогласованная связь между оптически тонкой и оптически толстой областями диска была реализована за счет включения в систему уравнений для дисковой аккреции уравнения для радиационного давления в диске, правильно учитывающего оба предельных случая.

(Artemova, I.V., Bjornsson, G., Bisnovatyi-Kogan, G.S., Novikov, I.D., 1996, ApJ, 456, 119.)

   

  1. Были получены и проанализированы решения для аккреционного диска

      вокруг черных дыр с адвекцией и переходной формулой для оптической толщи,

      включая внутреннюю область диска со сверхзвуковым движением газа.

  1. Были рассмотрены различные случаи описания вязкости в диске.
  2. Были исследованы типы особых точек полученных решений.

 

 

 

 

Полученные результаты могут иметь важное значение для объяснения спектров

жесткого рентгеновского и гамма-излучения из центра активных ядер галактик и

от черных дыр звездных масс.

 

Зависимость Томпсоноской оптической толщи (левая панель) и эффективной оптической толщи (правая панель) от радиуса. Пунктирные линии соответсвуют решениям без учета адвекции. Сплошные линии показывают решения с учетом адвекции и переходной формулы для оптической толщи для скоростей аккреции больших критической.

 

Публикации : Proceedings of the Gamov  Memorial International Conference, 
                       Odessa, Ukraine, August 8-14, 2004, Cambridge Scientific Publications